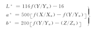
為獲得視覺上較均勻的顏色空間,CIE推薦CIE1976(L*a*b*)色空間和CIE1976(L"u*v*)色空間,並分別規定了色差計算方法。本文主要介紹了CIE1976(L*u*v*)色空間.。

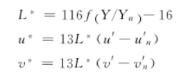
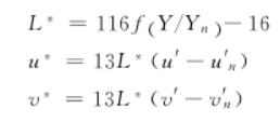
近似均勻的CIELUV三維色空間是由直角坐標L*,u*,v*構成,L*,u*,v*由下列式子確定:

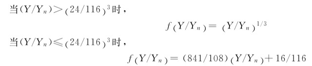
式中:
Y、u'、v':描述色刺激的量。計算 u'、v'的表達式如下:
Y、u'、v':給定的白物體色刺激,一般是指 CIE 照明體照射在完全漫反射體上,再經完全漫反射體反射到觀察者眼中的色刺激,在數值上即為照明體的色度值。
CIE 照明體在 CIE 1931 標準色度係統中的u'n.和v'n 見表1.

CIE 照明體在 CIE 1964 標準色度係統中的u'n 10和v'n 10見表2。


在 CIELUV色空間中和明度、飽和度、彩度、色調近似相關的量和計算公式分別是:
1) CIE 1976 明度L',計算方法如下:

2)CIE 1976 u,v飽和度(簡稱 CIELUV 飽和度)Suv,計算方法如下:
3)CIE 1976 u,v彩度(簡稱 CIELUV 彩度)C*uv,計算方法如下:

4)CIE 1976 u,v色調角(簡稱 CIELUV色調角)huv,計算方法如下:

1) 兩個顏色樣品的 CIE 1976 u,v色差(簡稱 CIELUV 色差)ΔE計算方法如下:
式中:
ΔL、Δu*、Δu*計算方法參考下列式子,並分別用u*、v* 替代a*、b";
2) CIE 1976 u,v色調差(簡稱 CIELUV 色調差)ΔH計算方法如下:
式中:
ΔH與Δhuv的正負符號相同。
