黄瓜视频免费看,黄瓜视频91APP,黄瓜成人在线视频,黄瓜视频APP深夜无限观影

微信谘詢

400-888-5135

3nh@3nh.com

儀器百科

CIE1976(L*a*b*)色空間與色差公式

發布時間:2023-10-23 17:38:04  

為獲得視覺上較均勻的顏色空間,CIE推薦CIE1976(L*a*b*)色空間和CIE1976(L"u*v*)色空間,並分別規定了色差計算方法。本文主要介紹了CIE1976(L*a*b*)色空間.。

 CIE1976(Lab)色空間.

注:本章中用腳標0和1代表用於色差比較的兩個樣品。

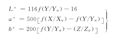
1. 基本坐標

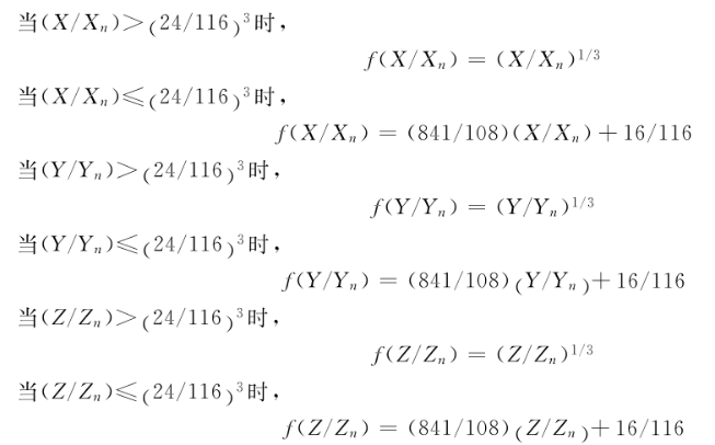
近似均勻的CIELAB三維色空間由直角坐標L*,A*,b*構成,L*,A*,b*由式(2)確定:

CIE1976色差公式(2)

式中:

X、Y、Z——被測物體色刺激在CIE1931標準色度係統中的三刺激值X、Y、Z,或在CIE1964標準色度係統中的三刺激值X10、Y10、Z10

Xn、Yn、Zn——給定的白物體色刺激的三刺激值。

CIE1976色差公式(1)

在通常情況下,給定的白物體色刺激是指與被測物體色在相同的光源照明下,完全漫反射體反射到觀察者眼中的色刺激,其三刺激值在數值上即為照明光源或照明體的三刺激值。

CIE照明體在CIE1931標準色度係統中的三刺激值X,、Y、Z,見表1。

CIE1976(Lab)色空間.2

CIE照明體在CIE1964標準色度係統中的三刺激值X10、Y10、Z10見表2。

CIE1976(Lab)色空間.3

CIELAB色空間示意圖見圖2。

 

2. 明度、彩度和色調

CIELAB色空間中與明度、彩度和色調近似相關的量和計算公式分別是:

1)CIE1976明度L*,計算方法同式(2)中L*。

2)CIE1976 a,b彩度(簡稱CIELAB彩度)C*ab ,計算方法如下:

CIE1976色差公式(9)

3)CIE1976 a,b色調角(簡稱CIELAB色調角)hab,計算方法如下:

CIE1976色差公式(10)

 

3. 色差計算

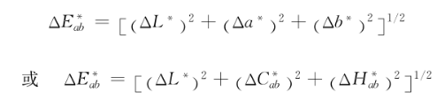
1)兩個顏色樣品的CIE1976 a,b色差(簡稱CIELAB色差)ΔE或計算方法如下:

CIE1976色差公式(11)

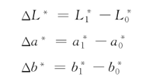
式中,△L* 是CIELAB明度差,△a*、△b* 是CIELAB色品指數差,計算方法見式2);ΔC高是CIELAB彩度差,計算方法見式3);△H高是CIELAB色調差,計算方法見式5)或式6)。

2)CIELAB明度差和色品指數差:

CIE1976色差公式(13)

3)CIELAB彩度差:

CIE1976色差公式(14)

4)CIELAB色調角差:

CIE1976色差公式(15)

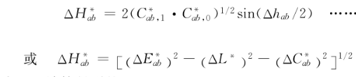
5)CIELAB色調差:

CIE1976色差公式(16)

對於不在無彩色軸上的小色差,ΔH*ab 可以按下列式子計算:

CIE1976色差公式(18)

式中,Δhab的單位是弧度。

注1:ΔH*ab 與Δhab的正負符號相同。

注2:當Δhab的絕對值趨近180度時,可不必計算CIELAB色調差和彩度差。

 


在線客服
聯係方式
  • 400-888-5135
  • 3nh@3nh.com
網站地圖