亮度怎麽算?亮度的計算公式是什麽?以下是關於亮度計算公式的詳細解析,結合物理定義、參數意義及實際應用場景分條闡述:

1.基本表達式
亮度的物理定義為:單位投影麵積在特定方向上的發光強度,公式為: L=d2Φ/(dA・cosθ・dΩ)
其中:
L:亮度,單位坎德拉每平方米(cd/m²);
dΦ:光束元在立體角dΩ內傳輸的光通量(單位:流明,lm);
dA:光束截麵積(單位:平方米,m²);
θ:光束截麵法線與觀察方向的夾角。
2 參數解析
光通量(dΦ):反映人眼感知的光功率,需結合光譜響應函數計算(如明視覺下最大光效683 lm/W對應555 nm波長)。
立體角(dΩ):描述光束發散範圍,單位為球麵度(sr),
1 sr表示單位半徑球麵上1 m²的對應角度。
投影麵積修正(cosθ):當觀察方向與表麵法線成夾角時,實際可見麵積按餘弦規律縮減。
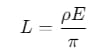
1.均勻漫反射表麵
若表麵為理想漫反射體(如白紙),亮度與照度關係簡化為:

其中ρ為表麵反射率,E為照度(單位:lx)。例如,反射率0.8的白紙在500 lx照度下亮度約為127 cd/m²。
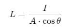
2. 點光源近似
對於遠距離點光源(如LED),亮度公式退化為:

其中I為發光強度(單位:cd),適用於定向光源的亮度計算。
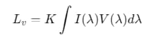
3. 光度學中的亮度計算
引入人眼光譜響應函數V(λ)後,亮度可表示為:
其中K=683 lm/W為最大光譜光視效能,適用於彩色光源的亮度評估。
1. 顯示屏亮度控製
LED屏幕亮度計算式為:亮度= 像素麵積/光強
例如,單個LED光強50 mcd(0.05 cd),像素麵積1 mm²時,亮度為50,000 cd/m²。通過PWM調光可動態調節亮度。
2. 道路照明設計
瀝青路麵亮度需滿足安全標準(如1 cd/m²),通過調整燈具光強和安裝高度(如10 m高燈具需約10,000 cd光強)實現均勻亮度分布。
3. 攝影與影視照明
攝像機對亮度敏感度遵循對數關係,拍攝場景需控製亮度比(如主光亮度200 cd/m²,輔光100 cd/m²)以避免過曝或噪點。
1. 儀器選擇
亮度計:直接測量cd/m²,適用於顯示屏、燈具表麵;
光譜輻射計:結合V(λ)函數計算亮度,用於複雜光譜光源。
2. 誤差控製
測量時需保持探頭與表麵垂直(θ=0°),否則需餘弦修正;
環境光幹擾需屏蔽,如使用暗室或遮光罩。
3. 動態亮度計算
智能照明係統中,實時亮度可通過光傳感器反饋調節,公式為:

其中τ為光源響應時間,用於動態場景適配。