你是否曾被黄瓜视频免费看上Lab和L*a*b*搞得一頭霧水?你是否曾好奇hab和△H*ab究竟是什麽意思?別急!一起來了解一下吧!

Lab
屬於HunterLab顏色空間,也稱為亨氏Lab,是理查德・亨特在20世紀40年代提出的新三刺激色彩模型。基於顏色對立理論的三維直角坐標係,不帶星號。

L*a*b*
屬於CIELab顏色空間,由國際照明委員會(CIE)於1976年提出的均勻色空間,也是HunterLab的升級版本,用於描述人眼可見的所有顏色,帶有星號以區分參數。
Lab
L:表示亮度/暗度,白色為100,黑色為0,用於表示深色和淺色調之間的差異。
a:代表紅綠軸,正a為紅色,負a為綠色;
b:代表黃藍軸,正b為黃色,負b為藍色。
L*a*b*
L*a*b*數值與Lab數值的含義基本相同,隻對HunterLab的原始數學方法做了一些小改動。
Lab
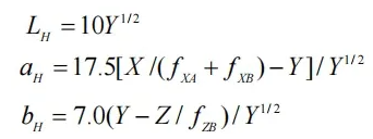
色差公式為:ΔEH
計算方法如下:

式中:
LH,aH,bH:亨特色空間的明度和色彩指數
X,Y,Z:樣品的三刺激值
fXA,fXB,fZB:常數,隨選用的標準色度觀察者和標準照明體不同而改變。

L*a*b*
色差公式為:ΔE*ab,常寫作ΔE*
計算方法如下:

式中:
△L*:代表明度差
△a*:代表紅綠色品差
△b*:代表黃藍色品差
Lab
雖然沒有通過正式的國際標準認證,但在描繪絕對色坐標和顏色間差異方麵得到了廣泛認可。
L*a*b*
國際通用標準,被全球黄瓜视频免费看廠家采用,並沿用至今。